欢迎光临优米官网
网站首页
优米体育地址
中心概况
信息公开
就业服务
教育培训
市县工作
优米娱乐有限公司地址电话号码
下载专区
»教育培训
首页
>>
教育培训
>>
教育培训
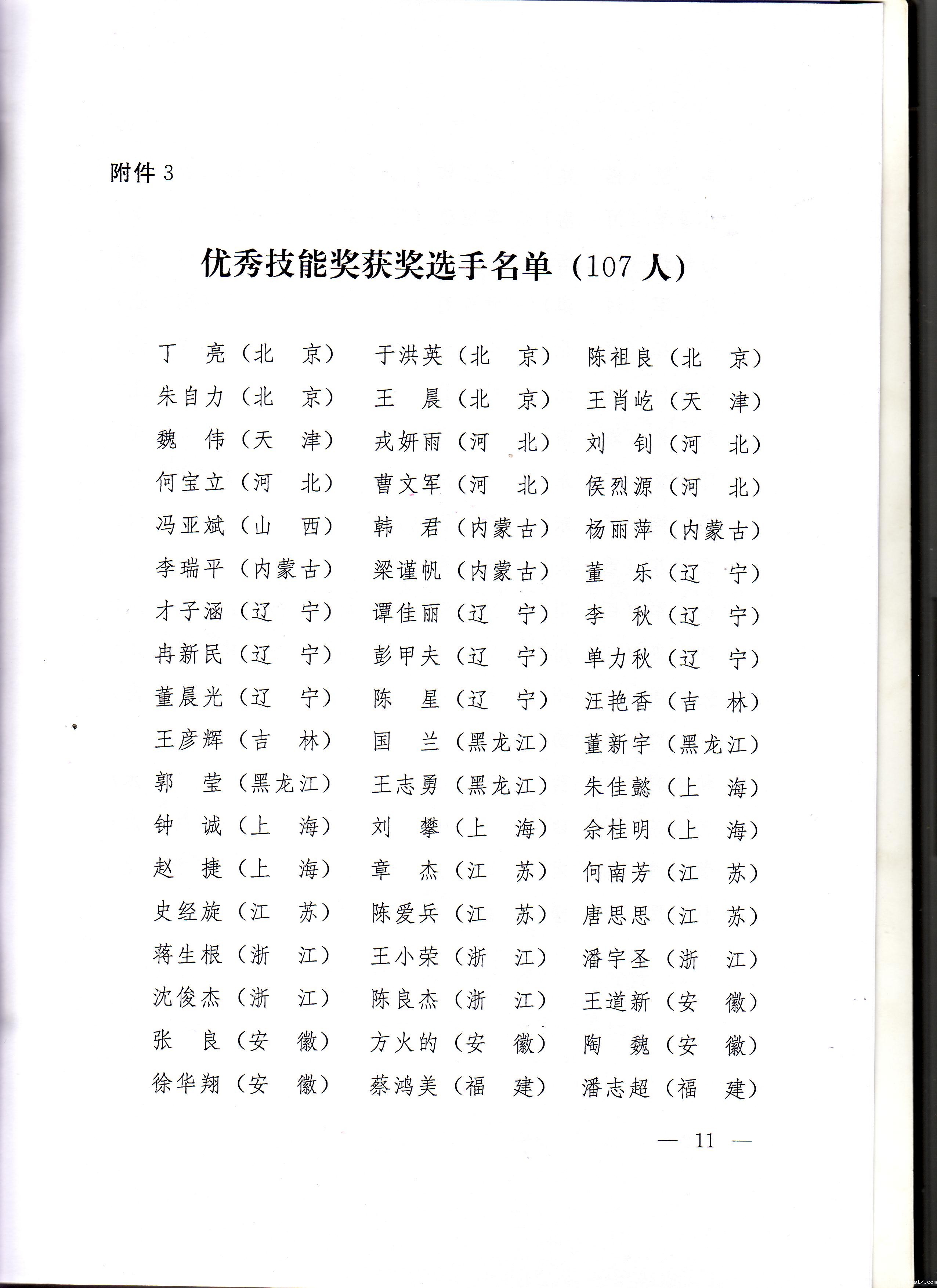
关于公布第五届全国残疾人职业技能竞赛获奖名单的通知
来源:甘肃省残疾人就业服务中心
时间:2016-05-18
作者:培训科
map